Welcome: Chemsynlab ,carbohydrate chemistry
Language: Chinese ∷  English

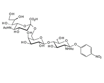
501427-93-6 , Neu5Aca(2-6)Galb(1-4)GlcNAc-b-pNP; 4-Nitrophenyl O-(N-acetyl-a-neuraminosyl)-(2-6)-b-D-galactopyranosyl-(1-4)-2-acetamido-2-deoxy-b-D-glucopyranoside

501427-93-6 , Neu5Aca(2-6)Galb(1-4)GlcNAc-b-pNP;
4-Nitrophenyl O-(N-acetyl-a-neuraminosyl)-(2-6)-b-D-galactopyranosyl-(1-4)-2-acetamido-2-deoxy-b-D-glucopyranoside,
Cas:501427-93-6
C31H45N3O21 / 795.70

Neu5Aca(2-6)Galb(1-4)GlcNAc-b-pNP

4-Nitrophenyl O-(N-acetyl-a-neuraminosyl)-(2-6)-b-D-galactopyranosyl-(1-4)-2-acetamido-2-deoxy-b-D-glucopyranoside

Neu5Ac alpha(2-6)Gal beta(1-4)GlcNAc-beta-pNP (Neu5Ac) is a sialic acid that is found in the non-reducing end of glycan chains of glycoconjugates in mammalian cells. The following is a comprehensive discussion of its physical and chemical properties, synthesis and characterization, analytical methods, biological properties, safety in scientific experiments, applications, current state of research, potential implications in various fields of research and industry, limitations, and future directions.

Definition and background

Neu5Ac is a sialic acid that plays a vital role in the biology of human beings. This molecule is important for cell-to-cell communication and recognition in the body. It is present on the surface of various human cells such as red blood cells, neurons, and immune cells. Some viral pathogens exploit this recognition pathway to infect host cells. Neu5Ac is synthesized through a variety of pathways involving different enzymes.

Physical and Chemical Properties

Neu5Ac has a molecular weight of 501.43 g/mol, and it is a white to off-white crystalline powder. It has a melting point of 190-200°C, and it is sparingly soluble in water. Its solubility is pH-dependent, and it is more soluble in acidic solutions. The pKa of the carboxyl group in Neu5Ac is 2.7, and that of the sialic acid group is 4.6.

Synthesis and Characterization

Neu5Ac can be synthesized through various methods, including chemical synthesis and enzymatic synthesis. The most common approach involves the enzymatic conversion of N-acetyl-D-glucosamine (GlcNAc) to N-acetyl-neuraminic acid (Neu5Ac) using the enzyme sialyltransferase. The synthesized Neu5Ac can be characterized by different methods, including nuclear magnetic resonance (NMR) spectroscopy, mass spectrometry, and high-performance liquid chromatography (HPLC).

Analytical Methods

The analytical techniques employed to analyze Neu5Ac include HPLC, NMR spectroscopy, and mass spectrometry. HPLC is a widely used technique for separating and quantifying glycan molecules; NMR spectroscopy provides structural information; and mass spectrometry provides information on the molecular weight and composition of Neu5Ac.

Biological Properties

Neu5Ac plays a critical role in various biological processes, including cellular communication, immune response, and pathogen recognition. Its presence or absence in glycoconjugates determines the specificity of interactions between glycoproteins and their binding partners. The absence or change in the expression pattern of Neu5Ac in glycoconjugates can have pathological consequences, including cancer development and metastasis.

Toxicity and Safety in Scientific Experiments

The toxicity of Neu5Ac has been investigated in various animal models. Studies have shown that Neu5Ac is non-toxic and safe at physiological concentrations. However, high concentrations of Neu5Ac can result in cell death and tissue damage.

Applications in Scientific Experiments

Neu5Ac is widely used as a tool in various scientific experiments. It is commonly used as a substrate for sialyltransferases and a model glycan for studying glycan-binding proteins. Neu5Ac can also be used as an antigen in immunoassays for studying the presence of anti-Neu5Ac antibodies in serum samples.

Current State of Research

The research on Neu5Ac is currently focused on understanding its role in various biological processes, biosynthetic pathways, and its use as a tool in various scientific experiments. Recent studies have shown that Neu5Ac has a critical role in the development and progression of cancer and autoimmune diseases.

Potential Implications in Various Fields of Research and Industry

Neu5Ac has potential applications in various fields of research and industry. It can be used in the development of therapeutics for cancer and autoimmune diseases, as a tool for studying glycan-binding proteins, and in the development of vaccines against bacterial infections. Neu5Ac can also be used in the food industry as a flavor enhancer and a functional food ingredient.

Limitations and Future Directions

One limitation of Neu5Ac research is the lack of standardization of synthesis and characterization methods. Future research directions include developing more standardized methods for the synthesis and characterization of Neu5Ac, understanding its role in various biological processes, developing therapeutics targeting Neu5Ac-mediated interactions, and investigating its use in various industrial applications.

In conclusion, Neu5Ac is a crucial molecule in various biological processes, and it has potential applications in various fields of research and industry. Further research is needed to fully understand its role in health and disease and to develop more standardized methods for its synthesis and characterization. The development of therapeutics targeting Neu5Ac-mediated interactions could pave the way for new treatments for various diseases. Its use as a tool in scientific experiments and in the food industry could also have significant implications. These future directions suggest that Neu5Ac research is a promising avenue for further exploration.

CAS Number501427-93-6
Product NameNeu5Ac alpha(2-6)Gal beta(1-4)GlcNAc-beta-pNP
IUPAC Name(2R,4S,5R,6R)-5-acetamido-2-[[(2R,3R,4S,5R,6S)-6-[(2R,3S,4R,5R,6S)-5-acetamido-4-hydroxy-2-(hydroxymethyl)-6-(4-nitrophenoxy)oxan-3-yl]oxy-3,4,5-trihydroxyoxan-2-yl]methoxy]-4-hydroxy-6-[(1R,2R)-1,2,3-trihydroxypropyl]oxane-2-carboxylic acid
Molecular FormulaC31H45N3O21
Molecular Weight795.7 g/mol
InChIInChI=1S/C31H45N3O21/c1-11(37)32-19-15(39)7-31(30(46)47,55-27(19)21(41)16(40)8-35)50-10-18-22(42)24(44)25(45)29(53-18)54-26-17(9-36)52-28(20(23(26)43)33-12(2)38)51-14-5-3-13(4-6-14)34(48)49/h3-6,15-29,35-36,39-45H,7-10H2,1-2H3,(H,32,37)(H,33,38)(H,46,47)/t15-,16+,17+,18+,19+,20+,21+,22-,23+,24-,25+,26+,27+,28+,29-,31+/m0/s1
InChI KeyTVDCKIMQUNLKLE-KOLSOZNPSA-N
SMILESCC(=O)NC1C(CC(OC1C(C(CO)O)O)(C(=O)O)OCC2C(C(C(C(O2)OC3C(OC(C(C3O)NC(=O)C)OC4=CC=C(C=C4)[N+](=O)[O-])CO)O)O)O)O
Canonical SMILESCC(=O)NC1C(CC(OC1C(C(CO)O)O)(C(=O)O)OCC2C(C(C(C(O2)OC3C(OC(C(C3O)NC(=O)C)OC4=CC=C(C=C4)[N+](=O)[O-])CO)O)O)O)O
Isomeric SMILESCC(=O)N[C@@H]1[C@H](C[C@@](O[C@H]1[C@@H]([C@@H](CO)O)O)(C(=O)O)OC[C@@H]2[C@@H]([C@@H]([C@H]([C@@H](O2)O[C@@H]3[C@H](O[C@H]([C@@H]([C@H]3O)NC(=O)C)OC4=CC=C(C=C4)[N+](=O)[O-])CO)O)O)O)O


INQUIRY

Scan the qr codeClose
the qr code