Welcome: Chemsynlab ,carbohydrate chemistry
Language: Chinese ∷  English

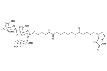
870891-83-1 , Fuc-(a1,2)-[GalNAc-(a1,3)]-b-Gal-O(CH2)3NHCO(CH2)5NH-biotin ; Blood Group A trisaccharide, spacer-biotin conjugate

870891-83-1 , Fuc-(a1,2)-[GalNAc-(a1,3)]-b-Gal-O(CH2)3NHCO(CH2)5NH-biotin ;
Blood Group A trisaccharide, spacer-biotin conjugate,
Cas:870891-83-1
C39H67N5O18S / 926.04

Fuc-(a1,2)-[GalNAc-(a1,3)]-b-Gal-O(CH2)3NHCO(CH2)5NH-biotin 

Blood Group A trisaccharide, spacer-biotin conjugate

*Blood group A antigen conjugated to spacer arm and biotin*

CAS No870891-83-1
SynonymsFuc-(a1,2)-[GalNAc-(a1,3)]-b-Gal-O(CH2)3NHCO(CH2)5NH-biotin
Chemical FormulaC39H67N5O18S
Molecular Weight926.04 g/mol
SmilesCC1OC(OC2C(OCCCNC(=O)CCCCCNC(=O)CCCCC3SCC4NC(=O)N[C@H]34)OC(CO)C(O)C2OC5OC(CO)C(O)C(O)C5NC(=O)C)C(O)C(O)C1O
Storagestore at <-15°C
Harmonized Tariff CodesSwitzerland: 29389010 - USA: 2938900000 - Slovakia: 2938901000 - UK: 2938909000 - China: 2938909090


INQUIRY

Scan the qr codeClose
the qr code