60797-31-1 , Fuca1-2Galb1-4GlcNAc ; Blood Group H type II trisaccharide
1352644-16-6 , Fuca-2Galb-4GlcNAcb-3Gal ; Blood group H tetraose type II
30517-76-1 , Fuca-2Galb-4GlcNAcb-3Galb-4Glc ; Blood group H pentaose type II
50624-46-9 , GalNAca1-3(Fuca1-2)Galb1-4(Fuca1-3)Glc ; Blood Group A pentasaccharide
385398-89-0 , 2-Acetamido-6-O-(a-2-N-acetylneuraminyl)-2-deoxy-a-D-galactopyranosyl N-acetylserine
97604-31-4 , GalNAc-b-1,3-Gal-b-1,4-Glc; b-3'-GalNAc-lactose; b-3'-N-Acetylgalactosaminyllactose
72506-87-7 , 6-O-a-Sialyl-2-acetamido-2-deoxy-D-galactopyranose ; 2-Acetamido-2-deoxy-6-a-O-sialyl-D-galactopyra
55637-63-3 , Man-b-1,4-GlcNAc ; 2-Acetamido-2-deoxy-4-O-(b-D-mannopyranosyl)-D-glucopyranose
50787-11-6 , Gal(b1-4)ManNAc ; 2-Acetamido-2-deoxy-4-O-(b-D-galactopyranosyl)-D-mannopyranose
34621-73-3 , GlcNAc-b-1,2-Man; b-1-2 N-Acetylglucosamine mannose ; 2-O-(2-Acetamido-2-deoxy-b-D-glucopyranosyl)-
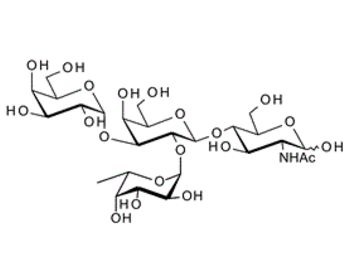
49777-13-1 , GalNAc-a-1,3-(Fuc-a-1,2)Gal ; Blood Group A trisaccharide
597-12-6 , Melezitose, 松三糖, CAS:597-12-6
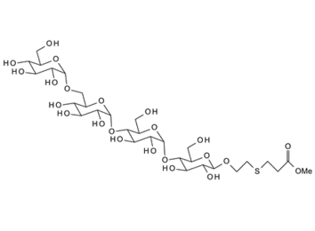
90214-99-6 , Carbomethoxyethylthioethyl 4-O-(4-O-[6-O-{a-D-glucopyranosyl}-a-D-glucopyranosyl]-a-D-glucopyranosy
95673-98-6 , GlcNAc-b-1,3-GalNAc ; 2-Acetamido-3-O-(2-acetamido-2-deoxy-b-D-glucopyranosyl)-2-deoxy-D-galactopyr
68665-69-0 , 6'-b-GlcNAc-lactose; 6'-b-N-Acetylglucosaminyllactose ; 4-O-(6-O-[2-Acetamido-2-deoxy-b-D-glucopyra
909890-21-7 , Gala1-3(Fuca1-2)Galb1-4GlcNAc ; Blood Group B type II tetrasaccharide
190852-25-6 , 1,5-a-L-Arabinopentaose
41708-95-6 , Chitohexaose 6HCl, 壳六糖六盐酸盐 , CAS:41708-95-6
6860-47-5, Xylobiose, 木二糖, CAS:6860-47-5
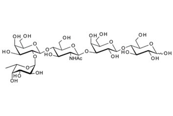
68733-37-9 , Blood Group A trisaccharide-(CH2)8COOMe derivative
68779-95-3 , 6-Amino-6-deoxy-a-cyclodextrin hydrochloride -
30899-95-7 , 6-Amino-6-deoxy-a-cyclodextrin hydrochloride
886750-14-7 , GalNAca1-3Galb1-3GlcNAc ; Blood Group A type I linear trisaccharide
170298-33-6 , GalNAc-a-1,3-(Fuc-a-1,2)Gal-b1-O-(CH2)8CONH(CH2)2NH2; Blood Group A trisaccharide amine derivative
联系人:李经理
手机:13621067991(wechat)
电话:13552979007(wechat)
邮箱:chemsynlab@163.com, zhangchao@chemsynlab.com
地址: 北京市大兴区金苑路26号1幢4层411室