16741-18-7 , Fuc-(a1,2)-Gal; 2-O-(a-L-Fucopyranosyl)-D-galactopyranose; H-Disaccharide; 2-O-(6-Deoxyhexopyran
146076-26-8 , Fuc-(a1,2)-Gal; 2-O-(a-L-Fucopyranosyl)-D-galactopyranose; H-Disaccharide; 2-O-(6-Deoxyhexopyra
24656-24-4 , Fuc-(a1,2)-Gal; 2-O-(a-L-Fucopyranosyl)-D-galactopyranose; H-Disaccharide; 2-O-(6-Deoxyhexopyran
143444-32-0 , Galb1-4Glca1-4Glc; GalG2; LG2 ,4-O-b-D-Galactosyl maltose
103531-01-7 , a氟代纤维二糖,4-O-b-D-Glucopyranosyl-a-D-glucopyranosyl fluoride; Cellobiosyl fluoride
218269-34-2 , Carboxymethyl-b-cyclodextrin
53784-83-1 , Heptakis-(6-bromo-6-deoxy)-b-cyclodextrin ; 6-Bromo-6-deoxy-b-cyclodextrin
138398-63-7 , GalNAca1-3Galb1-4GlcNAc ; Blood Group A type II linear trisaccharide
89315-59-3 , 1,5-a-L-Arabinotriose
84666-93-3 , 3^3-a-L-Arabinofuranosyl-xylotetraose
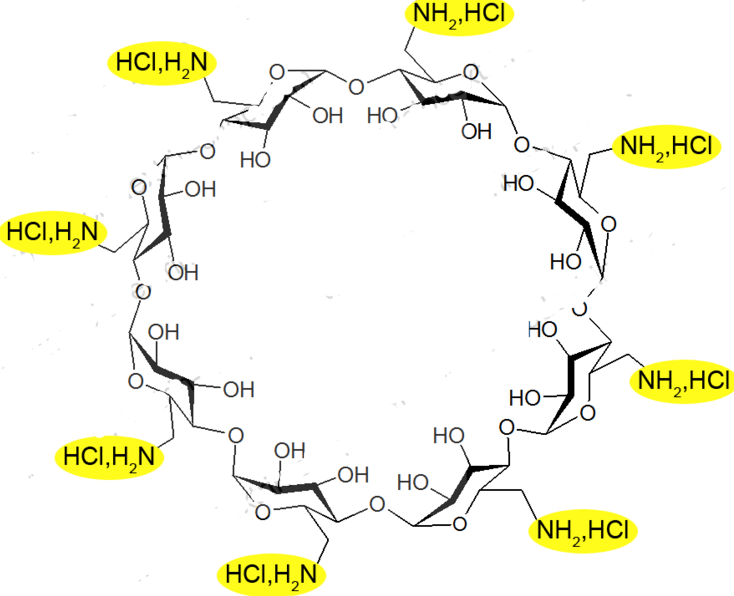
171283-79-7 , 6-Amino-6-deoxy-gamma-cyclodextrin hydrochloride ; Octakis-(6-amino-6-deoxy)-γ-cyclodextrin octahy
156297-62-0 , 6-Amino-6-deoxy-gamma-cyclodextrin hydrochloride ; Octakis-(6-amino-6-deoxy)-γ-cyclodextrin octahy
155015-99-9 , Agaropentaose
452316-31-3 , 2-Acetamido-6-O-(2-acetamido-2-deoxy-b-D-glucopyranosyl)-2-deoxy-D-galactopyranose
20212-77-5 , GlcNAc-b-1,6-Gal ; 6-O-(2-Acetamido-2-deoxy-b-D-glucopyranosyl)-D-galactopyranose
145164-24-5 , A3 N-Glycan ; A3G3S3 Glycan
117065-98-2 , Acarbose tridecaacetate
115350-24-8 , Chitobiose 2HCl ; Chitosan dimer dihydrochloride; 4-O-(b-D-Glucosamine)-D-glucosamine
149458-08-2 , Chondroitin disaccharide 6S sodium salt ; Dermatan sulfate disaccharide sodium salt
136132-72-4 , Chondroitin disaccharide 6S sodium salt ; Dermatan sulfate disaccharide sodium salt
50787-10-5 , N-Acetylallolactosamine ; 2-Acetamido-2-deoxy-6-O-(b-D-galactopyranosyl)-D-glucose
9013-95-0,果聚糖,Levan,CAS:9013-95-0
132436-90-9 , Gentiobiulose , 6-O-(b-D-Glucopyranosyl)-D-fructose
149368-04-7, Chondroitin disaccharide di-UA2S disodium salt
联系人:李经理
手机:13621067991(wechat)
电话:13552979007(wechat)
邮箱:chemsynlab@163.com, zhangchao@chemsynlab.com
地址: 北京市大兴区金苑路26号1幢4层411室