欢迎光临~北京凯森莱科技有限公司
语言选择: 中文版 ∷  英文版
  • 35061-50-8 , N,N'-Diacetylchitobiose , GlcNAc-b-1,4-GlcNAc
35061-50-8 , N,N'-Diacetylchitobiose , GlcNAc-b-1,4-GlcNAc

35061-50-8 , N,N'-Diacetylchitobiose , GlcNAc-b-1,4-GlcNAc

35061-50-8 , N,N'-Diacetylchitobiose , GlcNAc-b-1,4-GlcNAc
C16H28N2O11 / 424.4
MFCD00077715

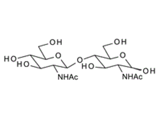
N,N'-Diacetylchitobiose , GlcNAc-b-1,4-GlcNAc

N,N'-diacetylchitobiose is the N,N'-diacetylated derivative of chitobiose, but with no stereodesignation for the anomeric carbon atom. It has a role as a human metabolite, an Escherichia coli metabolite and a mouse metabolite. It derives from a beta-D-glucosaminyl-(1->4)-D-glucosamine.

N, N'-diacetylchitobiose, also known as (glcnac)2, belongs to the class of organic compounds known as acylaminosugars. These are organic compounds containing a sugar linked to a chain through N-acyl group. N, N'-diacetylchitobiose can be biosynthesized from beta-D-glucosaminyl-(1->4)-D-glucosamine.

CAS Number35061-50-8
Product NameN,N'-diacetylchitobiose
IUPAC NameN-[(3R,4R,5S,6R)-5-[(2S,3R,4R,5S,6R)-3-acetamido-4,5-dihydroxy-6-(hydroxymethyl)oxan-2-yl]oxy-2,4-dihydroxy-6-(hydroxymethyl)oxan-3-yl]acetamide
Molecular FormulaC₁₆H₂₈N₂O₁₁
Molecular Weight424.4 g/mol
InChIInChI=1S/C16H28N2O11/c1-5(21)17-9-13(25)14(8(4-20)27-15(9)26)29-16-10(18-6(2)22)12(24)11(23)7(3-19)28-16/h7-16,19-20,23-26H,3-4H2,1-2H3,(H,17,21)(H,18,22)/t7-,8-,9-,10-,11-,12-,13-,14-,15?,16+/m1/s1
InChI KeyPLJAKLUDUPBLGD-VLWZLFBZSA-N
SMILESCC(=O)NC1C(C(C(OC1O)CO)OC2C(C(C(C(O2)CO)O)O)NC(=O)C)O
Synonyms2-(Acetylamino)-4-O-[2-(acetylamino)-2-deoxy-β-D-glucopyranosyl]-2-deoxy-D-glucose; Bis(N-acetyl)chitobiose; Chitobiose Diacetate; N,N’-Diacetyl-D-chitobiose;
Canonical SMILESCC(=O)NC1C(C(C(OC1OC(C(CO)O)C(C(C=O)NC(=O)C)O)CO)O)O
Isomeric SMILESCC(=O)N[C@@H]1[C@H]([C@@H]([C@H](O[C@H]1O)CO)O[C@H]2[C@@H]([C@H]([C@@H]([C@H](O2)CO)O)O)NC(=O)C)O


在线询价

用手机扫描二维码关闭
二维码