欢迎光临~北京凯森莱科技有限公司
语言选择: 中文版 ∷  英文版
  • 3687-64-7 , Galactinol hydrate , 1-O-a-D-Galactopyranosyl-L-myo-inositol hydrate; myo-Inositol galactoside
3687-64-7 , Galactinol hydrate , 1-O-a-D-Galactopyranosyl-L-myo-inositol hydrate; myo-Inositol galactoside

3687-64-7 , Galactinol hydrate , 1-O-a-D-Galactopyranosyl-L-myo-inositol hydrate; myo-Inositol galactoside

3687-64-7 , Galactinol hydrate , 1-O-a-D-Galactopyranosyl-L-myo-inositol hydrate; myo-Inositol galactoside
C12H22O11·xH2O / 342.30 (anydrous basis)
MFCD01631159

Galactinol hydrate , 1-O-a-D-Galactopyranosyl-L-myo-inositol hydrate; myo-Inositol galactoside

Galactinol, a carbohydrate molecule, has been studied for its various properties, potential uses and implications in scientific research and industry. This review aims to provide a comprehensive analysis of galactinol, including definition and background, physical and chemical properties, synthesis and characterization, analytical methods, biological properties, toxicity and safety in scientific experiments, applications in scientific experiments, current state of research, potential implications in various fields of research and industry, limitations, and future directions.

Definition and background:

Galactinol is a carbohydrate molecule with a chemical formula of C12H22O11. It is a galactose derivative that is used in the synthesis of raffinose family oligosaccharides (RFOs). Galactinol is derived from myo-inositol, and it is synthesized by the enzyme galactinol synthase (GolS). RFOs have been studied for their various biological properties, including their role as signaling molecules, osmoprotectants, and as a source of energy storage.

Physical and Chemical Properties:

Galactinol is a white crystalline powder and has a sweet taste. Its melting point is at 162-163 °C, and it is soluble in water. Galactinol has a molecular weight of 342.3 g/mol, and it exists as a D-galactose derivative. Galactinol has been studied for its various chemical properties, including its ability to form hydrogen bonds, and its reactivity towards different chemicals.

Synthesis and Characterization:

Galactinol is synthesized from myo-inositol by the enzyme galactinol synthase (GolS). The enzyme catalyzes the transfer of galactose from UDP-galactose to myo-inositol, resulting in the formation of galactinol. The enzyme GolS has been studied for its various properties, including its reaction mechanism, substrate specificity, and its role in the synthesis of RFOs. Characterization of Galactinol has been done using various chemical and analytical methods, including NMR, HPLC, and FTIR.

Analytical Methods:

Analytical methods such as NMR, HPLC, and FTIR have been used for the analysis and characterization of galactinol. These methods have been used to investigate various properties of galactinol, including its purity, composition, and reactivity towards different chemicals.

Biological Properties:

Galactinol has been studied for its various biological properties, including its role as a signaling molecule, its osmoprotectant properties, and its ability to be used as a source of energy storage. Galactinol has been found to accumulate in response to various environmental stresses, including salt stress, drought stress, and low-temperature stress. It has also been studied for its potential roles in plant growth, development, and response to biotic and abiotic stresses.

Toxicity and Safety in Scientific Experiments:

Galactinol has been studied for its toxicity and safety in scientific experiments, and no adverse effects or toxicity have been reported. Galactinol has been used in animal studies and has been found to be safe and well-tolerated.

Applications in Scientific Experiments:

Galactinol has various potential applications in scientific experiments, including its use as a biosynthetic intermediate in the production of RFOs, its use as a signaling molecule, and its potential roles in plant growth and development.

Current State of Research:

Current research on galactinol has focused on its various properties, potential uses, and application in different fields of research and industry. Research has been conducted on its synthesis, biological properties, and potential roles in plant growth and development.

Potential Implications in Various Fields of Research and Industry:

Galactinol has various potential implications in scientific research and industry, including its use as a biosynthetic intermediate in the production of RFOs, its use as a signaling molecule, and its potential roles in plant growth and development. It also has potential applications in food and agriculture industries, as well as in pharmacology and biotechnology industries.

Limitations and Future Directions:

Despite the potential implications of galactinol in various fields of research and industry, there are still limitations and challenges associated with its use. Future research directions include further investigation of its effectiveness as a signaling molecule, its roles in plant growth and development, and its potential applications in different fields of research and industry.

Future Directions:

1. Investigation of galactinol as a potential treatment for neurodegenerative diseases.

2. Use of galactinol in synthetic biology to create biosensors for environmental monitoring.

3. Study of the interactions between galactinol and other carbohydrates in the synthesis of RFOs.

4. Investigation of galactinol's ability to protect against UV radiation exposure.

5. Development of new techniques for the synthesis of galactinol.

In conclusion, galactinol is a carbohydrate molecule with various potential implications in scientific research and industry. Its properties, synthesis, characterization, and potential applications have been studied extensively. Further research is needed to fully understand its roles in different fields of research and industry, as well as to overcome the current limitations and challenges associated with its use.

CAS Number3687-64-7
Product NameGalactinol
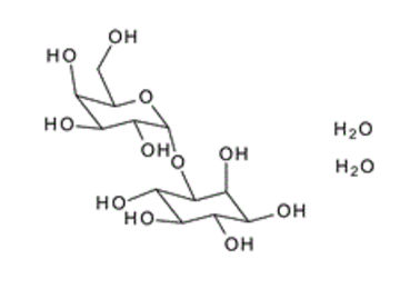
IUPAC Name6-[3,4,5-trihydroxy-6-(hydroxymethyl)oxan-2-yl]oxycyclohexane-1,2,3,4,5-pentol
Molecular FormulaC12H22O11
Molecular Weight342.3 g/mol
InChIInChI=1S/C12H22O11/c13-1-2-3(14)4(15)10(21)12(22-2)23-11-8(19)6(17)5(16)7(18)9(11)20/h2-21H,1H2
InChI KeyVCWMRQDBPZKXKG-UHFFFAOYSA-N
SMILESC(C1C(C(C(C(O1)OC2C(C(C(C(C2O)O)O)O)O)O)O)O)O
Synonyms1-O-(alpha-D-galactopyranosyl)-myo-inositol dihydrate, 6 beta-galactinol, galactinol, galactinol dihydrate
Canonical SMILESC(C1C(C(C(C(O1)OC2C(C(C(C(C2O)O)O)O)O)O)O)O)O


在线询价

用手机扫描二维码关闭
二维码