欢迎光临~北京凯森莱科技有限公司
语言选择: 中文版 ∷  英文版
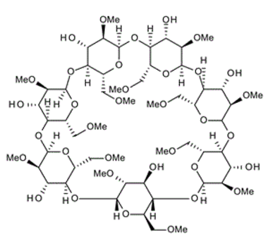
  • 51166-71-3 ,二甲基-β-环糊精, 2,6-Dimethyl-b-cyclodextrin , DIMEB; Heptakis(2,6-di-O-methyl)-b-cyclodextrin
51166-71-3 ,二甲基-β-环糊精, 2,6-Dimethyl-b-cyclodextrin , DIMEB; Heptakis(2,6-di-O-methyl)-b-cyclodextrin

51166-71-3 ,二甲基-β-环糊精, 2,6-Dimethyl-b-cyclodextrin , DIMEB; Heptakis(2,6-di-O-methyl)-b-cyclodextrin

51166-71-3 ,二甲基-β-环糊精,
2,6-Dimethyl-b-cyclodextrin , DIMEB; Heptakis(2,6-di-O-methyl)-b-cyclodextrin,
Cas:51166-71-3
C56H98O35 / 1331.36
MFCD00011616

2,6-Dimethyl-b-cyclodextrin , DIMEB

Heptakis(2,6-di-O-methyl)-b-cyclodextrin,

二甲基-β-环糊精,

2,6-Di-O-methyl-beta-cyclodextrin (DMβCD) is an important molecule that has been widely used for various scientific purposes due to its unique properties. It is a member of the cyclodextrin (CD) family, which consists of cyclic oligosaccharides with a hydrophobic cavity and a hydrophilic exterior. The hydrophobic cavity of DMβCD can accommodate hydrophobic compounds, which makes it useful for various applications in different industries. DMβCD has been used as a solubilizer, stabilizer, encapsulating agent, and chiral selector in various fields such as pharmaceuticals, cosmetic, and food industries.

Synthesis and Characterization

DMβCD can be synthesized through the methylation of beta-cyclodextrin (β-CD) using methyl iodide in the presence of a base. The reaction is generally carried out in a solvent such as dimethyl sulfoxide (DMSO) or tetrahydrofuran (THF). The synthesized DMβCD can be characterized using various techniques such as nuclear magnetic resonance (NMR) spectroscopy, Fourier-transform infrared (FTIR) spectroscopy, and high-performance liquid chromatography (HPLC).

Analytical Methods

DMβCD can be analyzed using various analytical methods such as HPLC, gas chromatography (GC), capillary electrophoresis (CE), and mass spectrometry (MS). These methods are used to determine the purity, identity, and concentration of DMβCD in a sample.

Biological Properties

DMβCD has been extensively used in various biological applications due to its unique properties. It has been used for drug delivery, solubilization, and stabilization of proteins and peptides. DMβCD can also interact with cell membranes, which makes it useful for gene delivery and cell imaging. Additionally, DMβCD has been shown to have anti-inflammatory and antioxidant properties.

Toxicity and Safety in Scientific Experiments

DMβCD is generally considered to be safe and non-toxic in scientific experiments. It has been used in numerous in vitro and in vivo studies without any adverse effects on cells, tissues, or animals. However, some studies have reported cytotoxic effects of DMβCD at high concentrations.

Applications in Scientific Experiments

DMβCD has numerous applications in scientific experiments. It has been used for solubilization and stabilization of hydrophobic compounds such as drugs, and is thus useful for drug formulation. DMβCD has also been used for removal of cholesterol from cell membranes, which makes it a useful tool for studying cholesterol signaling pathways. Additionally, DMβCD has been used in studies of nanoparticle interactions with cells and tissues, and as a tool for gene delivery.

Current State of Research

DMβCD is an active area of research and numerous studies are being conducted to explore its properties and applications. Researchers are working on modifying DMβCD to improve its solubilizing and stabilizing properties, and to enhance its binding selectivity to target molecules. Additionally, research is being conducted to explore its applications in drug delivery, gene therapy, and cancer therapy.

Potential Implications in Various Fields of Research and Industry

DMβCD has potential implications in various fields of research and industry. In the pharmaceutical industry, DMβCD can be used to solubilize and stabilize poorly soluble drugs, which can improve their bioavailability and efficacy. DMβCD can also be used in cosmetic and food industries as a solubilizer and stabilizer. Additionally, DMβCD has potential applications in the field of environmental science for the removal of toxins and pollutants from soil and water.

Limitations and Future Directions

Despite its numerous applications, DMβCD does have some limitations. Its high cost and limited availability have hindered its widespread use in many fields. Additionally, its cytotoxic effects at higher concentrations are a concern. Future research efforts should focus on developing more cost-effective and efficient synthesis methods for DMβCD, and on exploring its potential applications in new fields such as nanotechnology, biotechnology, and environmental science.

Future Directions

Some potential future directions for DMβCD research include:

1. Exploring the use of DMβCD as a tool for studying the interactions between nanoparticles and cells.

2. Investigating the potential of DMβCD as an anti-tumor agent in cancer therapy.

3. Developing new analytical methods for the detection and quantification of DMβCD in biological samples.

4. Exploring the use of DMβCD as a tool for targeted gene delivery in gene therapy.

5. Studying the effect of DMβCD on bacterial and viral infections.

6. Evaluating the potential of DMβCD in the field of photodynamic therapy for the treatment of various diseases.

CAS Number51166-71-3
Product Name2,6-Di-O-methyl-beta-cyclodextrin
IUPAC Name(1S,3R,5R,6S,8R,10R,11S,13R,15R,16S,18R,20R,21S,23R,25R,26S,28R,30R,31S,33R,35R,36S,37R,38S,39R,40S,41R,42S,43R,44S,45R,46S,47R,48S,49R)-37,39,41,43,45,47,49-heptamethoxy-5,10,15,20,25,30,35-heptakis(methoxymethyl)-2,4,7,9,12,14,17,19,22,24,27,29,32,34-tetradecaoxaoctacyclo[31.2.2.23,6.28,11.213,16.218,21.223,26.228,31]nonatetracontane-36,38,40,42,44,46,48-heptol
Molecular FormulaC56H98O35
Molecular Weight1331.36 g/mol
InChIInChI=1S/C56H98O35/c1-64-15-22-36-29(57)43(71-8)50(78-22)86-37-23(16-65-2)80-52(45(73-10)30(37)58)88-39-25(18-67-4)82-54(47(75-12)32(39)60)90-41-27(20-69-6)84-56(49(77-14)34(41)62)91-42-28(21-70-7)83-55(48(76-13)35(42)63)89-40-26(19-68-5)81-53(46(74-11)33(40)61)87-38-24(17-66-3)79-51(85-36)44(72-9)31(38)59/h22-63H,15-21H2,1-14H3/t22-,23-,24-,25-,26-,27-,28-,29+,30+,31+,32+,33+,34+,35+,36-,37-,38-,39-,40-,41-,42-,43-,44-,45-,46-,47-,48-,49-,50-,51-,52-,53-,54-,55-,56-/m1/s1
InChI KeyQGKBSGBYSPTPKJ-UZMKXNTCSA-N
SMILESCOCC1C2C(C(C(O1)OC3C(OC(C(C3O)OC)OC4C(OC(C(C4O)OC)OC5C(OC(C(C5O)OC)OC6C(OC(C(C6O)OC)OC7C(OC(C(C7O)OC)OC8C(OC(O2)C(C8O)OC)COC)COC)COC)COC)COC)COC)OC)O
Synonyms2A,2B,2C,2D,2E,2F,2G,6A,6B,6C,6D,6E,6F,6G-Tetradeca-O-methyl-β-cyclodextrin; 2,6-Dimethyl-β-cyclodextrin; Dimeb; Hepta-(2,6-di-oxy-methyl)-β-cyclodextrin; Heptakis(2,6-di-O-methyl)-β-cyclodextrin; Tetradeca-O-methyl-β-cyclodextrin; Tetradecakis-2,6-O
Canonical SMILESCOCC1C2C(C(C(O1)OC3C(OC(C(C3O)OC)OC4C(OC(C(C4O)OC)OC5C(OC(C(C5O)OC)OC6C(OC(C(C6O)OC)OC7C(OC(C(C7O)OC)OC8C(OC(O2)C(C8O)OC)COC)COC)COC)COC)COC)COC)OC)O
Isomeric SMILESCOC[C@@H]1[C@@H]2[C@@H]([C@H]([C@H](O1)O[C@@H]3[C@H](O[C@@H]([C@@H]([C@H]3O)OC)O[C@@H]4[C@H](O[C@@H]([C@@H]([C@H]4O)OC)O[C@@H]5[C@H](O[C@@H]([C@@H]([C@H]5O)OC)O[C@@H]6[C@H](O[C@@H]([C@@H]([C@H]6O)OC)O[C@@H]7[C@H](O[C@@H]([C@@H]([C@H]7O)OC)O[C@@H]8[C@H](O[C@H](O2)[C@@H]([C@H]8O)OC)COC)COC)COC)COC)COC)COC)OC)O


在线询价

用手机扫描二维码关闭
二维码