欢迎光临~北京凯森莱科技有限公司
语言选择: 中文版 ∷  英文版
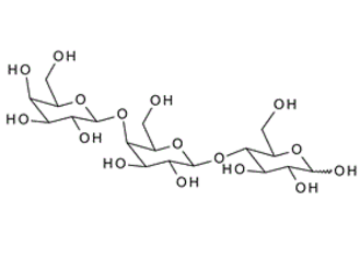
  • 6587-31-1 , 4'-Galactosyllactose , b-D-Gal-(1→4)-b-D-Gal-(1→4)-D-Glc
6587-31-1 , 4'-Galactosyllactose , b-D-Gal-(1→4)-b-D-Gal-(1→4)-D-Glc

6587-31-1 , 4'-Galactosyllactose , b-D-Gal-(1→4)-b-D-Gal-(1→4)-D-Glc

6587-31-1 , 4'-Galactosyllactose ,
b-D-Gal-(1→4)-b-D-Gal-(1→4)-D-Glc,
4-O-(4-O-b-D-Galactopyranosyl-b-D-galactopyranosyl)-D-glucopyranose
C18H32O16 / 504.44
MFCD00890206

4'-Galactosyllactose , b-D-Gal-(1→4)-b-D-Gal-(1→4)-D-Glc,

4-O-(4-O-b-D-Galactopyranosyl-b-D-galactopyranosyl)-D-glucopyranose


4'-Galactooligosaccharide (4'-GOS) is a naturally occurring oligosaccharide derived from lactose, a carbohydrate found in milk. It is a prebiotic that selectively stimulates the growth of beneficial bacteria in the gut, promoting overall health and well-being. In this paper, we will explore the definition and background, physical and chemical properties, synthesis and characterization, analytical methods, biological properties, toxicity and safety in scientific experiments, applications in scientific experiments, current state of research, potential implications in various fields of research and industry, limitations, and future directions of 4'-GOS.

Definition and Background

4'-Galactooligosaccharide is a type of prebiotic that is derived from lactose, which is found in milk. It is not digested by the human body and passes through the gastrointestinal tract undigested, providing a food source for beneficial bacteria in the gut. Prebiotics like 4'-GOS are important for maintaining a healthy gut microbiota and promoting overall health.

Physical and Chemical Properties

4'-Galactooligosaccharide is a white crystalline powder with a sweet taste. It is soluble in water and slightly soluble in ethanol. The molecular weight of 4'-GOS is approximately 527 g/mol, and its chemical formula is C18H32O16.

Synthesis and Characterization

4'-Galactooligosaccharide can be synthesized by the enzymatic hydrolysis of lactose using beta-galactosidase. The reaction produces a mixture of oligosaccharides, including 4’-GOS. The resulting mixture can be purified using chromatography to isolate 4'-GOS.

Analytical Methods

High-performance liquid chromatography (HPLC) is the most commonly used method for analyzing 4'-Galactooligosaccharide. Other methods include mass spectrometry, nuclear magnetic resonance spectroscopy, and infrared spectroscopy.

Biological Properties

4'-Galactooligosaccharide has been shown to have a number of biological properties that make it beneficial for human health. It selectively stimulates the growth of beneficial bacteria in the gut, such as Bifidobacterium spp. and Lactobacillus spp. These bacteria are known to promote gut health and overall well-being.

Toxicity and Safety in Scientific Experiments

Studies have shown that 4'-Galactooligosaccharide is safe for human consumption at doses up to 25 g/day. No adverse effects have been reported at this dose.

Applications in Scientific Experiments

4'-Galactooligosaccharide has a number of applications in scientific experiments. It is commonly used as a substrate for the production of prebiotic supplements and functional foods. It has also been used as a functional ingredient in infant formulas and animal feed.

Current State of Research

Research on 4'-Galactooligosaccharide is ongoing, with a focus on its potential health benefits and applications in various fields. Studies have shown that 4'-GOS has potential therapeutic uses in treating diseases such as inflammatory bowel disease, colon cancer, and allergies.

Potential Implications in Various Fields of Research and Industry

4'-Galactooligosaccharide has potential implications in various fields, including food and beverage, animal feed, and pharmaceuticals. It can be used as an ingredient in functional foods and supplements to promote gut health. It can also be used as a prebiotic in animal feed to improve feed efficiency and reduce the need for antibiotics. In pharmaceuticals, it has potential therapeutic uses in treating various diseases.

Limitations and Future Directions

Despite its potential health benefits and applications, there are some limitations to the use of 4'-Galactooligosaccharide. One limitation is the high cost of production, which can limit its widespread use. Future research should focus on developing cost-effective production methods and expanding its applications in various fields. Other future directions include exploring its potential therapeutic uses in other diseases and further understanding its mechanisms of action.

Conclusion

In conclusion, 4'-Galactooligosaccharide is a prebiotic that promotes gut health and overall well-being. It has a number of potential applications in various fields, including food and beverage, animal feed, and pharmaceuticals. Ongoing research is exploring its potential therapeutic uses in treating diseases such as inflammatory bowel disease, colon cancer, and allergies. Despite its limitations, 4'-GOS shows promise as a functional ingredient with a range of potential applications.

CAS Number6587-31-1
Product Name4'-Galactooligosaccharide
IUPAC Name(2R,3R,4R,5R)-4-[(2S,3R,4R,5R,6R)-3,4-dihydroxy-6-(hydroxymethyl)-5-[(2S,3R,4S,5R,6R)-3,4,5-trihydroxy-6-(hydroxymethyl)oxan-2-yl]oxyoxan-2-yl]oxy-2,3,5,6-tetrahydroxyhexanal
Molecular FormulaC18H32O16
Molecular Weight504.4 g/mol
InChIInChI=1S/C18H32O16/c19-1-5(23)9(25)15(6(24)2-20)33-18-14(30)12(28)16(8(4-22)32-18)34-17-13(29)11(27)10(26)7(3-21)31-17/h1,5-18,20-30H,2-4H2/t5-,6+,7+,8+,9+,10-,11-,12+,13+,14+,15+,16-,17-,18-/m0/s1
InChI KeyRXVWSYJTUUKTEA-DSOVBJLESA-N
SMILESC(C1C(C(C(C(O1)OC2C(OC(C(C2O)O)OC(C(CO)O)C(C(C=O)O)O)CO)O)O)O)O
Synonyms4'-galacto-oligosaccharide, 4'-galactooligosaccharide, 4'-GL, O-beta-D-galactopyranosyl-(1-4)-O-beta-D-galactopyranosyl-(1-4)-D-glucose
Canonical SMILESC(C1C(C(C(C(O1)OC2C(OC(C(C2O)O)OC(C(CO)O)C(C(C=O)O)O)CO)O)O)O)O
Isomeric SMILESC([C@@H]1[C@@H]([C@@H]([C@H]([C@@H](O1)O[C@H]2[C@H](O[C@H]([C@@H]([C@H]2O)O)O[C@H]([C@@H](CO)O)[C@@H]([C@H](C=O)O)O)CO)O)O)O)O


在线询价

用手机扫描二维码关闭
二维码