Welcome: Chemsynlab ,carbohydrate chemistry
Language: Chinese ∷  English

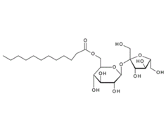
25339-99-5 , Dodecanoyl D-sucrose,b-D-Fructopyranosyl-a-D-glucopyranoside monododecanoate; Sucrose monolaurate

25339-99-5 , Dodecanoyl D-sucrose,b-D-Fructopyranosyl-a-D-glucopyranoside monododecanoate; Sucrose monolaurate,
Cas:25339-99-5
C24H44O12 / 524.6
MFCD00077947

Dodecanoyl D-sucrose,b-D-Fructopyranosyl-a-D-glucopyranoside monododecanoate; Sucrose monolaurate

Dodecanoyl D-sucrose is a nonionic surfactant. It is active against B. cereus, B. subtilis, S. aureus, E. coli, and S. typhimurium in a disc diffusion assay when used at a concentration of 255 mM. Transcutaneous immunization of mice with dodecanoyl D-sucrose-coated ovalbumin increases serum IgG levels by 5-fold compared to immunization with uncoated ovalbumin. Topical administration of a dodecanoyl D-sucrose hydrogel (15% v/v) containing estradiol increases serum estradiol levels in rabbits compared to an ethanol-containing hydrogel. Dodecanoyl D-sucrose has been used to prepare stable foams in aqueous solutions, as well as oil-in-water emulsions.

CAS Number25339-99-5
Product NameSucrose laurate
IUPAC Name[(2S,3R,4S,5S,6R)-2-[(2S,3S,4S,5R)-3,4-dihydroxy-2,5-bis(hydroxymethyl)oxolan-2-yl]-3,4,5-trihydroxy-6-(hydroxymethyl)oxan-2-yl] dodecanoate
Molecular FormulaC24H44O12
Molecular Weight524.6 g/mol
InChIInChI=1S/C24H44O12/c1-2-3-4-5-6-7-8-9-10-11-17(28)36-24(22(33)20(31)18(29)15(12-25)35-24)23(14-27)21(32)19(30)16(13-26)34-23/h15-16,18-22,25-27,29-33H,2-14H2,1H3/t15-,16-,18-,19-,20+,21+,22-,23+,24+/m1/s1
InChI KeyGCSPRLPXTPMSTL-IBDNADADSA-N
SMILESCCCCCCCCCCCC(=O)OC1(C(C(C(C(O1)CO)O)O)O)C2(C(C(C(O2)CO)O)O)CO
Synonymsbeta-fructofuranosyl-alpha-D-glucopyranoside monododecanoate, L-1690, sucrose laurate, sucrose monododecanoate, sucrose monolaurate
Canonical SMILESCCCCCCCCCCCC(=O)OC1(C(C(C(C(O1)CO)O)O)O)C2(C(C(C(O2)CO)O)O)CO
Isomeric SMILESCCCCCCCCCCCC(=O)O[C@@]1([C@@H]([C@H]([C@@H]([C@H](O1)CO)O)O)O)[C@@]2([C@H]([C@@H]([C@H](O2)CO)O)O)CO


INQUIRY

Scan the qr codeClose
the qr code